超疏水涂层所具备的自清洁、抑冰、防雾等优异特性,使其在工程领域有巨大的应用前景。近年来,国内外关于超疏水涂层的报道越来越多,然而关于Coating-304SS在腐蚀性溶液中的稳定性、自修复能力和电化学行为的研究较少。
研究室硕士生谭清朝利用刷涂溶胶的方法将二氧化钛-氟氧基硅烷超疏水涂层涂覆在304SS的表面上,系统研究了Coating-304SS的坚固性和自修复能力,并对比了Bare-304SS的电化学行为。结果显示,涂层在200g砝码下摩擦循环200次后仍然保持着良好的超疏水性能,其本身的微纳米结构在磨损测试中没有被破坏是这一结果的有力支撑。同时,涂层良好的自修复特性使得涂层使用寿命大大延长,氯离子与氢离子的协同作用会严重影响304SS基体与涂层间的结合。

Figure 1. The effect of wear cycles on SCA and SA (a); 3d morphology (b); SEM micrograph (c) after wear test and the device model of abrasion resistance test(d) .
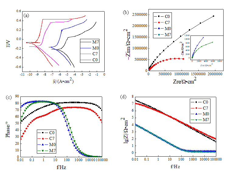
同时,超疏水涂层优异的憎水性赋予了不锈钢更强的耐蚀性,交流阻抗图谱和动电位极化曲线显示:Coating-304SS相较于Bare-304SS具有更高的电荷转移电阻(3~4个数量级)和击穿电位(200~300mV)。

Figure 2. The dynamic potential polarization curves (a) and EIS diagrams with Nyquist plots (b), Bode plots (c), (d) for Coating-304SS and Bare-304SS.
相关成果发表在Progress in Organic Coatings上,通讯作者为高志明教授.
文章链接: https://www.sciencedirect.com/science/article/pii/S0300944019315838。