铝合金材料是重要的结构材料之一,广泛应用于航空航天、轨道交通、船舶、建筑等行业,如大型水陆两栖飞机“鲲龙”等。通过共价结合自组装膜表面改性的方法增强防腐涂层与基体的结合强度,抑制Cl-在基体的吸附,是增强铝合金材料耐海洋环境腐蚀性能的重要研究方向之一。
研究室硕士生潘成成在铝合金表面制备了磷酸十二烷基酯(DDPO4)自组装膜,通过调节组装液的pH值,采用X射线光电子能谱(XPS)、电化学阻抗谱(EIS)、静态水接触角(CA)等手段综合分析了组装液pH值对自组装膜性能的影响。揭示了pH值对磷酸酯分子在LY12铝合金表面自组装成膜过程的影响机理,阐明了水溶性磷酸酯在LY12铝合金表面的自组装机制。
CA和XPS分析表明,中性条件下磷酸酯在铝合金表面发生化学吸附。磷酸酯在LY12铝合金表面的吸附满足准二级吸附动力学模型(Fig. 1),是一种化学吸附;O1s分峰结果(Fig. 2)也验证了这一点。

Fig.1 Evolution of the static contact angle in LY12 aluminum alloy after immersion in a 2 mM DDPO4 aqueous solution at pH 6.4 for various times.

Fig. 2 Decomposed XPS O1s detailed spectra measured for self-assembled film formed on LY12 aluminum alloy at pH 4 (#1), 6.4 (#2), and 9 (#3). The aluminum alloy after pretreatment (blank sample) are used for comparison.
Ar+深度刻蚀结果表明,中性条件下制备的磷酸酯自组装膜厚度显著优于酸性和碱性条件 (如图Fig. 3) 。
Fig. 3 Atomic concentration of C, O, Al and P calculated from XPS data at (a) pH= 4.0, (b) pH=6.4, (c) pH=9.
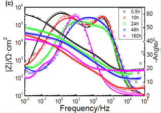
含Cl—溶液中的浸泡实验结果表明,中性组装液中制备的组装膜具有更优异的耐蚀性能,低频阻抗模值是其他两者的数十倍。随着浸泡时间延长,中性试样仅在局部发生受扩散控制点蚀,而其他两者表面则逐渐接近于裸露表面。



Fig. 4 EIS of DDPO4 coated LY12 alloy in solution (a) pH=4.0, (b) pH=6.4, (c) pH=9.0. (experimental data are plotted as points and the fitting results are shown in lines)
综合分析,磷酸酯分子受pH影响的机理如下(Fig. 5):水溶液中磷酸酯分子在LY12铝合金表面的组装受到铝合金表面电荷状态和磷酸酯分子的化学状态的协同作用(铝合金表面电荷和磷酸酯分子上的电荷的相互作用与磷酸酯分子上羟基与铝合金表面羟基的氢键相互作用及其缩合反应的耦合)。其结果是,在中性水溶液中,磷酸酯分子在LY12铝合金表面的组装能给获得性能最优的自组装膜。

Fig. 5 Proposed binding mechanism of, and the influence of pH on, DDPO4 adsorbed on an aluminum alloy surface.
相关论文发表在 Journal of the Electrochemical Society 期刊上,通讯作者为夏大海副教授。