【摘要】
由于单一热储能系统通常存在较低的能量转换效率和较高的能量损失,将电化学储能与热储能相结合有利于提升储能过程中的能量转换效率。常见的电化学储能系统受制于使用温度以及高活性材料,不利于实际规模储能应用。针对以上问题,团队开发了安全的新型锌基熔盐电池,该电池不含任何高活性金属并能在中温条件下运行。该电池采用Zn-K-Cl熔盐电解质、锌金属负极和MnO2、V2O5正极,在300 °C的条件下实现了高于1 V的高电池单体电压,并且能在超过30 mA cm-2的大电流下稳定运行。进一步对放电过程的分析表明在放电过程中Zn2+将持续嵌入正极并造成正极活性物质的演变,这证实了该电池是基于Zn2+嵌入正极的放电机制。随后进一步通过实验证实了该电池的循环能力,结果表明团队开发的新型锌基熔盐电池具有储能应用的前景。

【研究背景】
高温熔盐电池具有独特的工作特性,可应用于多种特殊环境,是一种具有前景的储能电池。随着二次能源在现代能源结构中的占比不断增大,开发新型储能技术十分必要。热储能和电化学储能是大新型储能技术,但热储能系统中回收中温低品质热的过程存在巨大的能量损失。电化学储能系统具有独立、灵活等优势,将电化学储能与热储能结合有利于提升储能系统的整体能量效率。因此,团队提出将特种储能电池与热储能系统结合,回收热储能系统中的中低品质热并协同管理系统电力调配,综合提升储能系统整体储能效率。常规储能电池难以满足热储能系统中的使用温度需求,现存研究的高温储能电池存在诸多不利因素:(1)普遍使用高活性碱金属或碱土金属,存在储能安全隐患。(2)使用温度普遍较高,难以满足中温环境要求。(3)反应物或反应产物具有高毒性且电池成本较高。因此,团队设想开发一种在中高温温度下操作的、无高活性金属的、安全的、低成本的新型中温熔盐电池。
对此,研究室韩晓鹏教授团队开发了一种操作温度在250~360 °C的无高活泼性金属的新型锌基熔盐电池。团队通过在Zn-K-Cl中温熔融盐体系中采用MnO2、V2O5正极和锌金属负极,在250~360 °C的工作温度下实现了高于1.0 V的高电池单体电压。团队开发的新型熔盐电池能以微电流进行长时间输出并能以高于30 mA cm-2的大电流进行短时极限输出。团队发现该电池的放电过程基于Zn2+嵌入正极的反应机制并基于此对该新型电池进行了循环测试,证明该新型电池具有一定的循环储能潜力。团队开发的新型锌基熔盐电池开创了新型熔盐电池体系并为应用于中温环境的储能电池提供了新选择。
【主要工作】
要点1:团队探索了不同组分的ZnCl2-KCl熔盐并从熔盐电化学角度对熔盐的物化性质进行了详细分析(Fig. 1)。分析结果表明,ZnCl2:KCl=70:30 (wt.%)的熔盐为最优样品,命名为Zn0.70。团队进一步对Zn0.70熔盐电解质的物相、流动性、电导率、电化学窗口等参数进行测试分析,结果表明Zn0.70熔盐具有良好的综合性能并最终确定为新型锌基熔盐电池的电解质。

Fig. 1. Properties of Zn-K-Cl molten salts. (a) DSC curves of Zn-K-Cl molten salts. (b) TG curves of Zn-K-Cl molten salts. (c) XRD pattern of Zn0.70. (d) Viscosity curve of Zn0.70. (e) Conductivity curve of Zn0.70 and comparison with conventional electrolytes. (f) LSV curve of Zn0.70.
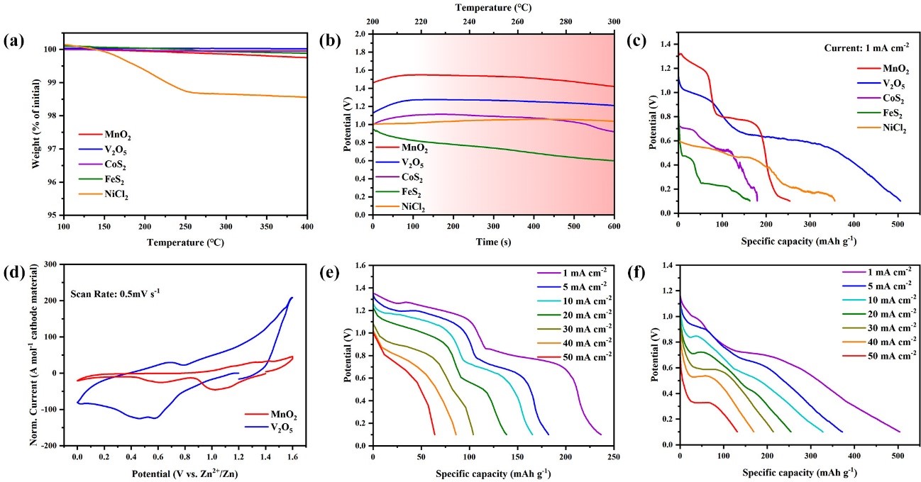
要点2:团队通过对现有的锌基电池正极材料和高温电池正极材料进行探索和筛选,确定采用MnO2和V2O5作为高电压锌基熔盐电池正极的主要研究对象。团队通过自主设计的熔盐电池测试设备在300 °C的条件下测试了新型锌基熔盐电池的电性能,结果表明该电池具有良好的放电性能和较高的放电电压平台(Fig. 2)。

Fig. 2. Selection of cathodes and performances of batteries. (a) TG curves of potential cathodes. (b) Open potentials of batteries with potential cathodes. (c) Discharge curves of batteries with potential cathodes at 1 mA cm-2. (d) CV curves of batteries with MnO2 and V2O5 cathodes. (e) Discharge curves of cells with MnO2 cathodes based on specific capacity at different current densities. (f) Discharge curves of cells with V2O5 cathodes based on specific capacity at different current densities.
要点3:团队对新型锌基熔盐电池的放电机制进行了详细研究(Fig. 3)。通过非原位XRD等手段对电池正极在不同放电阶段的正极产物进行分析,发现在放电过程中Zn2+将不断嵌入MnO2和V2O5正极中并造成正极材料结构和物相的转变。HTEM结果进一步证实了正极材料的物相转变。对正极反应产物的XPS分析结果表明,随着Zn2+不断嵌入正极,正极材料中的过渡金属元素的价态将不断降低并最终造成材料结构与物相的演变。

Fig. 3. Analyses of discharge products in batteries with MnO2 cathodes. (a) Ex-situ XRD patterns of cathode products at different discharge stages. (b) HTEM results of D3 and D6 discharge products. (c) Elemental distribution of D6 discharge products. XPS results of D0, D3, and D6 discharge products: (d) Zn 2p; (e) Mn 2p; (f) O 1s.
要点4:团队基于Zn2+嵌入正极的放电机制对所开发的新型锌基熔盐电池的循环性能进行了探索(Fig. 4)。测试结果表明所开发的新型锌基熔盐电池具有一定的可循环性,但循环性能有待进一步优化。团队对该电池循环性能的探索结果表明,本研究所开创的新型熔盐电池体系存在巨大的研究空间,有待进行更多的材料优化与创新来实现电池整体性能的进一步提升。

Fig. 4. Cycling performances of batteries with MnO2 and V2O5 cathodes. Cycling performances of batteries at 10 mA cm-2: (a) MnO2. (b) V2O5. Cycling curves of batteries based on specific capacity: (c) MnO2; (d) V2O5;
【结论】
团队开发了一种高电压的新型锌基熔盐电池,该电池Zn-K-Cl熔盐电解质中采用MnO2或V2O5正极和锌金属负极,可在250~360 °C下运行且不含任何高活性金属。该电池采用商用MnO2正极时放电平台为1.4~0.8 V和0.8~0.4 V,采用商用V2O5正极时放电平台为1.2 V~0.7 V和0.7~0.1 V。团队通过对放电产物的详细研究证实了所开发的新型锌基熔盐电池中存在Zn2+嵌入正极的放电机制。团队基于Zn2+嵌入机制尝试了新型锌基熔盐电池的循环性能并证实了该电池具有一定的循环潜力。本研究开发的高电压新型锌基熔盐电池具有良好的电性能和较大的研究价值,在实用领域和研究领域均存在较好前景。
文章下载地址:https://doi.org/10.1016/j.jpowsour.2022.232143